Das Zauberwort für ein gesundes und schönes Hautbild heißt:
Balance
LDM® Triple Ultraschall in Berlin Kladow:
Balance im Bindegewebe
Ultraschall mit seinen vielseitigen mechanischen, thermischen und biochemischen Wirkungen auf Zellen und Gewebestrukturen findet schon seit langer Zeit Anwendung in verschiedenen Bereichen der Medizin und der Ästhetik. LDM® – Lokale Dynamische Mikromassage – ist eine neuere Technologie auf der Basis von Ultraschallwellen.
Bei dieser Technologie werden Ultraschallwellen mit verschiedenen und schnell wechselnden Frequenzen eingesetzt. Hierdurch lassen sich gigantische Druckschwankungen auf kleinstem Raum erzielen. Dadurch entstehen Effekte, die mit einem konventionellen Ultraschall nicht erzielt werden können.
LDM® Triple 
- Ultraschall 
im Kosmetikstudio Kladow - Berlin
 
LDM®
Das Zauberwort für ein gesundes und schönes Hautbild heißt – Balance! Ist das Gleichgewicht zwischen Aufbau und Abbau im Bindegewebe gestört, so kommt es zu Hauterkrankungen, Hautalterung und einer müder aussehenden, schlaffen Haut.
LDM®  
hilft den Balance-Zustand im Gewebe wieder herzustellen. Das Ergebnis – eine gesunde und schöner aussehende Haut
 
  
Wie bereits zahlreiche in vitro Experimente (über 850) von Wellcomet® demonstriert haben, zeigt die duale Anwendung oft eine deutliche stärkere Wirkung auf Zellen und das Gewebe: biologische Effekte nach der Applikation beider Frequenzen in einer LDM®-Welle waren stärker als die Wirkung, die durch eine einfache Addition einzelner US-Wellen mit gleichen Frequenzen erzielt wurde.
Allgemeine Erklärung der LDM® Mikromassage und deren Wirkungen
Bei dieser neuen Technologie LDM werden die mit Ultraschall verbundenen Wirkungen deutlich gesteigert oder auch erst möglich gemacht. D.h. LDM Ultraschall unterscheidet sich qualitativ von herkömmlichen Ultraschall. Dies ist möglich, da einige Effekte bei der Anwendung von therapeutischen Ultraschall auf mechanische Ursachen zurückzuführen sind und LDM die mechanischen Auswirkungen im Vergleich zu herkömmlichen Ultraschall deutlich steigern kann.
Mit LDM werden die eingesetzten Frequenzen oszillierend in einer Welle (gepulst oder kontinuierlich) emittiert.
Eine schnelle Umschaltung zwischen diesen Frequenzen (100 bis 1000 Mal pro Sekunde) in einer Ultraschallwelle bewirkt zusätzlich zu konventionellen Ultraschallwirkungen eine starke innere Mikromassage im Gewebe. Weder mit den Händen noch mit irgendwelchen apparativen Methoden (wie z.B. Vakuummassage oder Vakuum-Kompressions-Massage) können im Gewebe solche gigantischen Druckschwankungen (mehrfach höher als der atmosphärische Druck) auf so einem kleinen Raum (in der Größenordnung von ca. 1 mm) erreicht werden.
Im Vergleich: Bei einer konventionellen Vakuummassage werden 100fach bis 1000fach niedrigere Unterdruckwerte verwendet. Und dabei ist dies alles nicht nur effektiv, sondern auch ungefährlich, was Anwendungen von LDM® sowohl in der Medizin als auch in der Kosmetik ermöglicht.
Die Zellen können den unterschiedlichen Frequenzen nicht folgen, es entsteht ein Schütteleffekt, der letztlich eine Lockerung des Bindegewebes bewirkt und zu einer Neuorganisation und Vergrößerung von extrazellulären Räumen. Dies zieht deutlich straffenden Effekte nach sich. Oder zu Verbesserungen im Narbengewebe.
Einige Wirkungen im Einzelnen:
(1) Auswirkung auf die Extrazelluläre Matrix
Die Extrazelluläre Matrix (EZM) gibt dem Gewebe Form und Elastizität sowie die Prallheit (Turgor) durch ihren Feuchtigkeitsspeicher. Die EZM ist Reservoir für Nähr- und Botenstoffe, ihr bekanntester Bestandteil ist die Hyaluronsäure.
Bei alternder Haut werden die Maschen im Kollagennetz immer größer und die Wasserspeicherung immer geringer. Das liegt u.a. daran, dass die GAGs (zu denen auch das Hyaluronan zählt) nicht mehr zwischen kollagenen und elastischen Fasern wie in einer normalen Haut, sondern direkt an den elastischen Fasern in den oberen Dermis-Schichten gelagert sind und so weniger Wasser angezogen werden kann. Die Zwischenzellulären Räume bleiben klein, es fehlt der innere Druck, der die Haut frisch aussehen lässt, und der Stoffwechsel, welcher in diesen Räumen verläuft, kann deutlich reduziert sein.
Mittels der LDM®-Technologie können sich Verklebungen in den Kollagenfasern lösen. Weiterhin können die angelagerten GAGs durch den Schütteleffekt umverteilt werden. Der Raum der Extrazellulären Matrix wird vergößert und damit bessere Bedingungen für einen guten Stoffwechsel erreicht. Dies ist ein wichtiger Beitrag zum "Anti-Aging".
(2) Auswirkung auf die Hautstraffheit
Die verstärkte Straffung der Haut nach LDM Ultraschall ist darauf zurückzuführen, dass durch den erhöhten mechanischen Druck alte / lose Quervernetzungen im Kollagengewebe vermehrt reißen und die senkrechten Strukturen gestärkt werden ("Hautstraffung"). Diese mechanischen Kräfte werden durch zusätzliche Nutzung von 10 MHz und 19 MHz weiter optimiert.
(3) Auswirkung auf die Frische des Bindegewebes
Die Fibroblasten sind u.a. zuständig für die Produktion der Prokollagene und sorgen damit für die Voraussetzungen für neue Kollagensynthese. Mit zunehmendem Alter steigt die Anzahl von inaktiven Fibrozyten und entsprechend reduziert sich die Anzahl von Fibroblasten im Gewebe.
Durch die mit der lokale dynamische Mikromassage erzeugten mechanischen Kräfte sinkt die Anzahl inaktiver Fibrozyten bei gleichzeitiger Neubildung von Fibroblasten. Dies kann man tatsächlich als "Hautverjüngung" bezeichnen ("skin rejuvenation") und führt mittelfristig wieder zu einer verbesserten Hautbild.
(4) Auswirkung auf Falten
Die chronologisch bedingte Hautalterung sowie übermäßige UV-und IR-Bestrahlung gehören zu den wichtigsten Ursachen von Falten. Falten können auf Veränderungen in unterschiedlichen Schichten der Haut hindeuten.
Es wird unterschieden zwischen
- tieferen Falten (wie z.B. Nasiolabale Falten)
- permanenten Falten (z.B. Stirnfalte, Zornfalte)
- reduzierbaren Falten (z.B. Krähenfüße)
und dem Mikrorelief der Haut.
Permanente Falten entstehen aus reduzierbaren Falten. Solche Falten treten u.a. durch Ansammlung von seneszenten Fibroblasten auf. Diese Fibroblasten sind viel weniger aktiv, was zu einer deutlichen Reduzierung des Kollagengehalts und einer Senkung der Dermis-Dichte führen kann.
Eine Stimulation der Fibroblasten durch LDM-Ultraschall und die Auflockerung / Erneuerung im Bindegewebe bilden eine erste Grundlage der Faltenbehandlungen und führen zu Verbesserungen im Mikrorelief und den reduzierbaren Falten.
Auch die mechanische Eigenschaften der Haut ändern sich mit zunehmenden Alter: Die Haut wird steifer und verliert die Eigenschaft, sich reversibel auszudehnen. Schuld daran ist die
- steigende Anzahl von Querverbindungen im Kollagen
- Desorganisation von faserförmigen Netzwerk-Strukturen im Bindegewebe
- Ansammlung von freiem Wasser in der Dermis
Bei solchen Behandlungszielen wie Falten oder Bindegewebsstraffung sind mechanische Wirkungen des Ultraschalls besonders wichtig, weil die strukturellen Veränderungen im Wesentlichen durch gigantische Druckschwankungen bzw. Mikroströmungen hervorgerufen werden.
Quelle für die allgemeinen Erklärungen: "Wirkungen des Ultraschalls auf die Haut. Wissenschaftliche Grundlagen" von Dr. Ilja Kruglikov.
Weitergehende Erfolge in der Faltenbehandlung bedarf neben den Auswirkungen aus den außerordentlichen mechanischen Kräften des LDM Ultraschalls die Einbindung von einer gewissen erhöhten Wärme in den für die Faltenbildung relevanten Gebieten. Dies wird mit der  
Einbindung von 19 MHz  
erreicht (s. dort).
Auswirkung der Einbindung von SHF-(sehr hoch frequentem) Ultraschall (10 / 19 MHz)
Das Bindegewebe befindet sich normalerweise in einem Gleichgewicht zwischen Aufbau- und Abbau-Prozessen.
Der Aufbau wird durch Fibroblasten gesteuert. Der Abbau durch MMPs (Matrix Metalloproteinases). Diese Prozesse sind durch Feedback Mechanismus miteinander verbunden.
Fast alle dermatologischen und ästhetischen Probleme - von der Akne bis zum Krebs, von Falten bis zur Hautalterung - hängen mit der Störung (Hyperaktivität) der MMP-Produktion und strukturellen Veränderungen und einer Dysbalance im Bindegewebe zusammen. Z.B. ist die bei der Akne die MMP-3 Konzentration bis zu 1000-fach erhöht. Oder bei der hypertrophen Narbe ist die MMP-2 Konzentration bis zu 8-fach erhöht.
Das ist einer der Gründe, warum bei den unterschiedlichsten dermatologischen Indikationen die 10 MHz Technologie anschlagen kann, da diese die MMP-Produktion hemmt und entzündungshemmend wirkt.
Das Gleichgewicht im Bindegewebe wird wiederhergestellt.
Mit der Integration der 10 MHz / 19 MHz Frequenz in die Ultraschallwelle  
werden also neben der mechanischen Wirkung auch biochemische Wirkungen in der Dermis verstärkt, die dazu führen, dass gerade auch Hautsituationen mit entzündlichen Zuständen signifikant verbessert werden können. Dieser Effekt wird mit der Ergänzung um die 19 MHz - Frequenz nochmals erhöht (s. unten).
Unterschiedliche Ultraschallfrequenzen nehmen unterschiedlichen Einfluss auf die Haut. Nur ein sinnvoller Mix mehrerer Frequenzen ermöglicht die Regulation mehrerer Prozesse gleichzeitig. Denn bei der Stimulation von Fibroblasten werden nicht nur Prokollagene erzeugt, sondern gleichzeitig auch kollagenabbauende Enzyme. Diese können durch gleichzeitige Erzeugung von Heatschockproteinen wiederum in Schach gehalten werden. Diese unterschiedlichen Prozesse werden mit unterschiedlichen Frequenzen und Pulsierung in den LDM-Ultraschallwellen erzeugt.
Mit verschiedenen Einstellungen am Gerät zu den eingesetzten Frequenzen können verschiedene Schwerpunkte in der Behandlung verfolgt werden. So kann speziell die Hautstraffung gefördert werden. Oder aber die dermatologische Behandlung. Oder aber der Schwerpunkt auf die Faltenbehandlung gelegt werden.
Im folgenden einige Ergebnisse aus einer Studie nach der Anwendung von dual-frequentem Ultraschall.
Gesichtshaut-Verjüngung mit SHF-Ultraschall:
Ergebnisse einer multizentrischen Studie zu LDM Ultraschall
Alle Patienten zeigten mehr als eine Verbesserung im Hautbild: Die Verbesserungen umfassen
die Verringerung der tiefen und feineren Falten sowie die Prallheit der Haut und die Verringerung der Größe der Hautporen - alles parallel. - Die ersten sichbaren Veränderungen waren normalerweise bereits nach der ersten Behandlung sichtbar, hauptsächlich in der Verringerung der Porengröße und der Verbesserung des Hauttugors. Der non-placebo Effekt dieser Behandlung wurde evident durch die hälftige Behandlung der Gesichtshälfte. Bei beiden Objekten konnte eine offensichtliche Veränderung des Hautbildes direkt nach der Behandlung demonstriert werden.
 
  

Tiefere Falten der Teilnehmer der multizentrischen Studie wurden verbessert von 0.63 ± 0.72 WSRS Grad gegenüber dem Basiswert.
Vereinfacht: Die besonders tiefen Falten haben sich bei > 40% der Teilnehmer verringert bzw. sind in feinere Falten übergegangen (hellblau = vor, violett = nach der Behandlung).

Feinere Falten der Teilnehmer der multizentrischen Studie wurden verbessert von 0.73 ± 0.52 WSRS Grad gegenüber dem Basiswert.
Vereinfacht: Die feineren Falten haben sich bei > 50% der Teilnehmer verringert.

Die Größe der Hautporen haben sich verbessert um 0.65 ± 0.57 WSRS Grad.
Vereinfacht: Sie haben sich bei > 30% der Teilnehmer durch die Behandlung verkleinert.

Der Hauttugor wurde erhöht um 2.88 auf 0.71 GAIS Grad.
Vereinfacht: Die Prallheit der Haut hat sich bei allen Teilnehmern erhöht.

Zufriedenheit mit dem Ergebnis der Hautbildverbesserung von Ärzten (DR) und Teilnehmern der Studie (PS). Ärzte waren mit über 95% mit dem Ergebnis zufrieden. Teilnehmer der Studie mit ca. 90%.
 
  
 
  
Ein Beispiel der sichtbaren Hautveränderung nach der Behandlung.
Die Verbesserungen in der Erscheinung der feinen Falten, des Haut-Mikroreliefs , der Porengröße und des Hauttugors sind klar ersichtlich.
Fazit:
Die präsentierte multizentrische Studie hat demonstriert, dass die Anwendung von LDM Ultraschall-Wellen inkl. sehr hoher Ultraschall Frequenz von 10 MHz deutlich veschiedene sichtbare Erscheinungen von alternder Haut verbessert.... Diese sichere, nicht-invasive Methode erreicht Resultate, die nicht so markant sind wie die Verbesserungen mit injizierten Fillern, bei denen gezeigt werden konnte, dass nasolabiale Falten zwischen 1.1. und 1.7 WSRS Grad verbessert werden konnte. Aber LDM Ultraschall kann alternativ genutzt werden, gerade auch bei einem breiten Spektrum von sichtbaren Alterserscheinungen der Haut, die in einer Behandlung effektiv und simultan behandelt werden sollen..
Einführung einer Triple Welle mit 19 MHz
 
Die Triple LDM® - Welle
Triple LDM® beschreibt eine Weiterentwicklung der LDM® Technologie und beinhaltet, ähnlich wie die LDM® Technologie, einen blitzschnellen Wechsel zwischen unterschiedlichen Frequenzen.
Als Innovation auf dem Ästhetik- und Medizinmarkt hebt sich diese besondere Technologie jedoch durch den Wechsel von drei Frequenzen gleichzeitig deutlich von anderen Ultraschallsystemen ab.
Die Verwendung von drei verschiedenen Frequenzen ermöglicht eine noch stärkere dynamische Druckverteilung im Gewebe über mehrere Schichten hinweg und kann zusätzlich zu einem differenzierten physiologischen Effekt führen.
 
  
 
  
Die von mir genutzten Triple Wellen erzeugen einen noch höheren zellulären Stress auf die Zellen als das dual frequente LDM® und verstärkt so den Effekt. Zudem kommt es zu einer stärkeren und breiter gefächerten simultanen Bindegewebsmassage mehrerer Gewebsschichten.
Auch innerhalb der Triple-Welle kann die Massage-Wirkung mittels der LDMPlus-Technologie dynamisch moduliert werden und so maßgeschneiderte Programme für spezifische Hautsituationen entwickelt werden.
Besonderheiten von 19 MHz
 
(1) Verbesserung entzündlicher Zustände
Während die meisten Ultraschallsysteme lediglich Frequenzen im Bereich 1 bis max. 5 MHz nutzen, und die eingeschallte Energie damit hauptsächlich weit unter der Dermis konzentrieren, benutzt das LDM Triple zusätzlich Ultraschallwellen mit einer besonderen Frequenz von 10 MHz und 19 MHz.
Mit einer Halbwertstiefe von gerade mal ca. 3 mm /1,5 mm arbeiten diese beiden Frequenzen hauptsächlich in den oberen Hautschichten.  
Mit der 19 MHz Frequenz wird ein noch oberflächigeres Arbeiten speziell in der Dermis ermöglicht, dort wo viele Hautprobleme und entzündliche Prozesse angesiedelt sind.
D.h. gerade die Behandlung von Dermatosen, atopische und periorale Dermatitis, Akne oder auch Rosacea können so hervorragend mit LDM Triple begleitend behandelt werden.

Weil diese besonderen sehr hohen Ultraschall-Frequenzen eine Welle mit einer sehr kleinen Wellenlänge von ca. 150 μm/ 75 μm besitzen, können Sie darüber hinaus sogar einzelne Zellen bzw. kleine Zellgruppen beeinflussen und damit für einige spezifische Zellreaktionen verantwortlich sein, die sich qualitativ von Reaktionen auf herkömmliche Ultraschallwellen unterscheiden.
 
  
Beispiel: Ergebnis einer klinischen Studie bei der Behandlung von leichter bis schwerer Akne:
Die durchschnittliche Verbesserung der Messwerte zwischen T1 (Beginn der Behandlung) und T2 (letzter Behandlungstag) betrug bei allen Patienten 73,69 % ± 13,90 % , während die Hautverbesserung zwischen T1 und T3 (Nachkontrolltermin) 90,14 % ± 8,35 % betrug. Auch der Zustand der Haut verbesserte sich statistisch signifikant zwischen T2 und T3 (53,26 % ± 29,24 %.
Die Behandlungsergebnisse sind langanhaltend. Darüber hinaus zeigt die Aknehaut nach Abschluss der Behandlung eine weitere spontane Verbesserung.
(2) Verbesserung von Falten
Grundlagen
Wie in einer kritischen Analyse gezeigt wurde, sind bisherige Annahmen bezüglich der Rolle des Kollagens in der Dermis die Faltenbildung betreffend nicht schlüssig. D.h. auch eine Neubildung von Kollagen in dieser Hautschicht alleine wird nicht zu nachhaltigen Verringerung von Falten führen können.   
Auch das sogenannte Kollagenshrinking, Zusammenziehen von Kollagen unter erhöhten Temperaturen (> 55 Grad) bei gleichzeitiger Stimulierung von Fibroblasten stellt offenbar keine nachhaltige Möglichkeit der Faltenminderung dar. Es führt zu Verbrennungen und erhöhter Bildung von Hyaluronan und nicht zu nachhaltiger Faltenminderung durch signifikante Verstärkung der Kollagenfasern. Im Gegenteil sind Langzeitfolgen solcher Verbrennungen nicht ausreichend untersucht.
Ursächlich gerade auch für die tiefe Faltenbildung liegen vielmehr in der Subkutis und primär in der Grenzschicht Dermis / Subkutis. Dort sind wesentliche Funktionen beheimatet, die die Stabilität und Verbindungsfestigkeit zwischen Haut und Fettgewebe gewährleisten. Eine ausführliche Untersuchung der mechanischen Gegebenheiten und Zusammenhänge zwischen den Hautschichten und deren Auswirkung findet sich in folgendem Artikel.
Die mechanischen Bedingungen in diesen Gebieten verändern sich mit dem Alter aber auch durch UVB-induzierte Veränderungen. Dies wurde bisher nicht beachtet, da die UVB-Strahlen lediglich eine geringe Eindringtiefe haben, die nicht bis dorthin reichen. D.h. die lichtbedingte Alterung musste demnach in der Dermis verortet sein. Man hat gleichzeitig den Schluss gezogen, dass auch die chronologischen (endogenen) Faktoren der Hautalterung sich dort auswirken müssten.
Tatsächlich befinden sich in der Dermis auch mit dem Alter weniger kollagene Strukturen. Eine wichtige Rolle hierfür spielen die in der Grenzschicht befindlichen sogenannten dermalen Adipozyten.
"Dermale Adipozyten haben eine interessante Eigenschaft, welche bis jetzt nicht bekannt war: Sie können deutlich mehr Kollagen als subkutane Adipozyten produzieren. Besonders starke Unterschiede wurden dabei bei Kollagen vom Typ 1, 5 und 6 (Hauptkollagentyp im adipositären Gewebe) festgestellt. DWAT (SAAT) ist ein Bestandteil der geschichteten Hautstruktur. Eine verstärkte Kollagenproduktion in dieser Schicht wird mechanische Eigenschaften der Haut also erheblich verändern. Eine Stimulation der Kollagenproduktion in dWAT (SAAT) kann unter anderem durch thermomechanischen Stress hervorgerufen werden, was die Wirkungen verschiedener Anti-Aging-Behandlungsmethoden endlich vernünftig erklärt."
Über die dermalen Adipozyten lassen sich auch die UVB bedingten Veränderungen in der Tiefe der Haut erklären.
Die Stimulierung der Strukturen in Subkutis und der dermalen Adipozyten durch leichte Hyperthermie (erhöhte Temperatur) und Mikromassage kann durch die hohe Reaktionsfreudigkeit dermaler Adipozyten zu vergleichsweise schnellem Kollagenaufbau und so zu einer Verstärkung und damit auch einer Erhöhung der Verbindungsfestigkeit führen. Dies ist eine effiziente Behandlung von Falten.
Mit der Kombination der Stimulierung verschiedener Hautschichten und Grenzschichten können nachhaltige Verbesserungen in der Faltenbehandlung grundlegender erzielt werden.
19 MHz
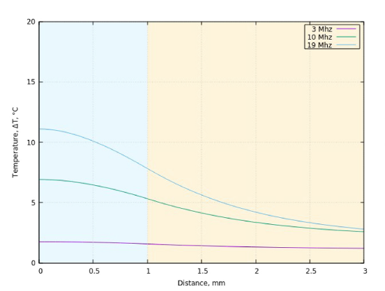
Eine weitere wichtige mit der 19 MHz-Frequenz einhergehende Eigenschaft ist die veränderte Temperaturentwicklung in der Haut. So können leicht erhöhte Temperaturen von ca 40-43 Grad genau in der Grenzschicht Dermis / Subkutis und näheren Umgebung erzeugt werden.
Man kann auf der Graphik deutlich die durch Ultraschall unterschiedlich erhöhten Temperaturen an der Grenzschicht Dermis / Subkutis (bei 1 mm) erkennen.
(Die Dermis wird blau dargestellt, die Subkutis beige).

 
  
Mit freundlicher Genehmigung von Wellcomet Gmbh
(3) Behandlung von Cellulite
Eine ausführliche Darstellung findet sich auf den Seiten zur Behandlung von Cellulite
(4) Die Wirkungen von sehr hoch frequenten Ultraschall (SHF US) sind vielfältig.
Neben den Verbesserungen von entzündlichen Zuständen und der Hautbildverbesserung durch Straffung, Porenverfeinerung und Faltenminderung, gibt es weitere Vorteile, die gerade auch im Zusammenspiel im Einsatz mit anderen Frequenzen in einer LDM-Behandlung zum Tragen kommen.
Im folgenden Artikel (erschienen im Journal für Ästhetische Chirurgie 2018) werden diese ausführlich erläutert.
Gerät LDM Triple 19 / LDM Gold
Das von mir genutzte Gerät LDM Triple 19 stellt die Gold-Variante unter den LDM®-Technologien dar. Es besitzt die weltweit einzigartige Triple Welle gleich in zweifacher Ausführung (nämlich 1/3/10 Mhz und 3/10/19 Mhz). Daneben ist in einigen Programmen auch duales LDM (wie in LDM-Med) integriert.
Mit diesen Möglichkeiten ausgerüstet lassen sich in verschiedenen Programmen die obigen Vorteile von LDM und SHF-US (Sehr hoch frequenter Ultraschall) heben. Dies betrifft die unterstützende Behandlung von entzündlichen Zuständen in Akne, Dermatosen, Dermatitis oder auch Rosacea. Und dies betrifft die Möglichkeit der Hautverjüngung, des Anti-Aging, der Hautstraffung und der Faltenbehandlung.
LDM Triple mit dermaviduals kombiniert
Die Behandlungen mit LDM Triple und dermaviduals stellen aufgrund Ihrer Verträglichkeit, Wirksamkeit und Differenzierbarkeit in ihren Feldern alleine schon bereits echte Premium-Behandlungen dar. In Kombination angewandt können die Wirkungen gesteigert und gute Ergebnisse erzielt werden.
Zusammenfassung
 
LDM-Ultraschall ist eine schmerzlose und nebenwirkungsfreie Behandlung mit schnell sichtbaren Effekten der Hautverjüngung wie z.B Faltenreduktion, Porenverfeinerung oder Hautstraffung. Die LDM-Ultraschall-Behandlung unterscheidet sich aufgrund der besonderen mechanischen Wirkungen qualitativ von herkömmlichen Ultraschall-Anwendungen.
Die beim LDM® und Triple LDM® eingesetzten Ultraschallwellen können einzelne Gewebestrukturen modulieren und damit gezielt in die dynamischen Prozesse des Bindegewebes eingreifen. Sie regulieren beispielsweise nicht nur die Matrix Metalloproteinasen (MMPs), die primär für einen Gewebeabbau verantwortlich sind, sondern beeinflussen auch die Produktion von Heat Shock Proteine (HSPs), die für eine korrekte Proteinkontrolle im Gewebe notwendig sind. Auch der Hyaluronangehalt (HA) in der Haut kann mit bestimmten Ultraschallfrequenzen gezielt beeinflusst werden, was wiederum zu Turgor- sowie einigen rasch sichtbaren strukturellen Veränderungen im Gewebe führen kann.
Mit den integrierten 19 Mhz Frequenz in einer triple Welle werden gegenüber dual-frequentem LDM (1/3 bzw. 3/10 MHz) durch zusätzliche Zielgenauigkeit und Intensität neue Chancen für verbesserte Behandlungsergebnisse eröffnet. Dies betrifft entzündliche Zustände in Dermatosen, Formen der Dermatitis, Akne oder auch Rosacea als auch Faltenbehandlungen in einzigartiger Weise.
In dem von mir genutzten Gerät LDM Triple 19 verwende ich 5 cm Sonotroden, die Schallmenge gegenüber den üblichen 1,2 cm bis 2,5 cm Sonotroden ist entsprechend höher bei gleicher Zeitaufwendung.
Damit die Ergebnisse erzeugt werden können, ist es erforderlich, dass die Beschallzeit eingehalten wird. Gegenüber konventionellen Ultraschallgeräten zeigt das LDM Gerät immer an, wann die Beschallung z.B durch verlorenen Kontakt, nicht vorhanden ist. Die Zeit ohne Beschallung wird von dem Gerät automatisch nicht auf die vorgesehene Behandlungszeit angerechnet.
Bei bestimmten Einstellungen sind Sofortwirkungen möglich. Für eine länger anhaltende Wirkung sollten allerdings regelmäßige Behandlungen 2 mal wöchentlich über einen Zeitraum von 3-4 Wochen durchgeführt werden. Solche Behandlungskuren erzielen eine deutlich sichtbare und anhaltende Hautbildverbesserung, die sich noch monatelang über den Behandlungszeitraum hinaus weiter entwickeln kann.
Oder es wird im Studio eine Intensivbehandlung durchgeführt und mittels Skinova®-Kur zu Hause fortgeführt, was deutlich einfacher und weniger kostenintensiv für Sie wäre.
Alle von mir durchgeführten LDM-Triple Behandlungen werden ausschließlich mit hypoallergenen Wirkstoffkonzentraten von dermaviduals ergänzt.
Regelmäßiges Gewebe- und Zell-Training mit Triple LDM-Wellen mit ihren anti-inflammatorischen und festigenden Wirkungen stellen eine optimale Prävention zur Erhaltung der Hautlanglebigkeit ("skin longevity") dar. Diese Behandlungen ermöglichen den Menschen ein gesünderes Altern.
Die Behandlungen stellen in dieser Konstellation ein einzigartiges Angebot dar.
Video zur dual frequenten LDM-Technologie (LDM Medical-SPA)



